In the previous article, we discussed about Current Mirror Circuit and how it can be built using a Transistor and a MOSFET. Even though a basic current mirror circuit can be constructed using two simple active components, BJTs and MOSFETs or using an amplifier circuit, the output is not perfect, as well as it has certain limitations and dependencies on the external factors. So to get a stable output, additional techniques like the Wilson current mirror and the Widlar current mirror are used in current mirror circuits.
Table of Contents
- Understanding the Current Mirror Circuit
- └ Circuit Diagram and Performance Metrics
- Wilson Current Mirror Circuit Design
- Improving Wilson Current Mirror Performance
- Advantages of the Wilson Current Mirror Technique
- └ Limitations
- Practical Wilson Current Mirror Implementation
- Widlar Current Mirror Technique
- └ Simple Current Mirror vs Widlar Current Mirror
- Analysing Widlar Current Mirror Output Impedance
Understanding Current Mirror Circuit Fundamentals
A simple current mirror forms the basis for most advanced current mirroring techniques. A circuit engineer in precision current sources must stress the basics of the two-transistor current mirror circuit and its drawbacks before jumping into Wilson or Widlar implementations.
Current Mirror Circuit Diagram and Performance Metrics
There are several options to improve the output of the Current Mirror Circuit. In one of the solutions, one or two transistors are added over the traditional two-transistor design. The construction of those circuits uses an emitter follower configuration to overcome the base current mismatch of the transistors. The design can have a different kind of circuit structure to balance the output impedance.
There are three primary metrics to analyse the current mirror performance as part of a large circuit.
1. The first metric is the amount of static error. It is the difference between input and output currents. It is a tough task to minimise the difference as the difference of differential single-ended output conversion with the differential amplifier gain is responsible for controlling the rejection ratio of common mode and power supply.
2. The next most crucial metric is the current source output impedance or the output conductance. It is crucial because it affects the stage again, as the current source is acting like an active load. It also affects the common-mode gain in different situations.
3. For the stable operation of current mirror circuits, the last important metric is the minimum voltages coming from the power rail connection located across the input and output terminals.
So to improve the output of the Basic Current Mirror Circuit, considering all the above performance metrics, here we will discuss two popular Current Mirror Techniques - Wilson Current Mirror Circuit and Widlar Current Source Circuit.
Wilson Current Mirror Circuit Design
The Wilson current mirror originated from an engineering challenge between George R. Wilson and Barrie Gilbert to make an improved current mirror circuit overnight. Needless to say that George R. Wilson won the challenge in 1967. From the name of George R. Wilson, the improved current mirror circuit designed by him is called the Wilson Current Mirror Circuit.
The circuit uses three active devices that accept the current across their input and provide an exact copy or mirrored copy of the current to their output.

Current Mirror Circuit Derivation for Wilson Configuration
In the above Circuit Diagram, there are three active components, which are BJTs and a single resistor R1.
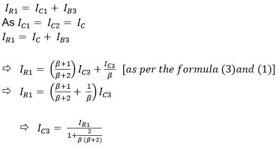
Two assumptions are made here – one is that all transistors have the same current gain which is and the second is that the collector currents of T1 and T2 are equal, as T1 and T2 are matched and the same transistor. Therefore
IC1 = IC2 = IC
And this applies to the base current, too.
IB1 = IB2 = IB
Current Mirror Circuit Formula Development
The current mirror circuit formula for the Wilson configuration involves several key relationships. The base current of the T3 transistor:
The base current of the T3 transistor can easily be calculated by the current gain, which is
IB3 = IC3 / β … (1)
And the emitter current of the T3 will be
IB3 = ((β + 1)/ β) IC3 … (2)
If we look at the above schematic, the current across the T3 emitter is the sum of T2’s collector current and the base currents of T1 & T2. Therefore,
IE3 = IC2 + IB1 + IB2
Now, as discussed above, this can be further evaluated as
IE3 = IC + IB + IB IE3 = IC + 2IB
Hence,
IE3 = (1+(2/β)) IC
The IE3 can be changed as per the (2)
((β+1)/ β)) IC3 = (1+(2/β)) IC
The collector current can be written as,
IC = ((1+ β) / (β + 2)) IC3 … (3)
Again, as per the schematic, the current through

The above equation can draw a relationship between the Third transistor collector's current with the input resistor. How? If 2/ (β(β + 2)) << 1 then the IC3 ≈ IR1. The output current can also be easily calculated if the base-emitter voltage of the transistors is less than 1V.
IC3 ≈ IR1 = (V1 – VBE2 – VBE3) / R1
So, for the proper and stable output current, the R1 and V1 need to be in proper values. To make the circuit act as a constant current source, R1 need to be replaced with a constant current source.
Current Mirror Circuit Comparison
Circuit Type | Transistor Count | Accuracy | Output Impedance | Complexity | Best Application |
|---|---|---|---|---|---|
Simple Current Mirror | 2 | Good | Medium (ro) | Low | Basic current sourcing |
Wilson Current Mirror | 3-4 | Excellent | Very High | Medium | High-precision applications |
Widlar Current Mirror | 2 | Very Good | High | Low | Low-current IC biasing |
Improving Wilson Current Mirror Performance
Wilson current mirror circuit can be further improved to get perfect accuracy by adding another transistor. This enhanced configuration provides superior performance compared to simple current mirror implementations.

The above circuit is the improved version. The fourth transistor T4, is added to the circuit. The additional transistor T4 balances the collector voltage of T1 and T2. The collector voltage of T1 is stabilised by an amount equal to the VBE4. This results in finite and stable voltage differences between the T1 and T2.
Advantages of the Wilson Current Mirror Technique
» Removes base current mismatch: Unlike simple current mirror designs, the Wilson configuration gets close to eliminating base current balance errors. This results in an output current accuracy close to the input current reference.
» High Output Impedance: The circuit employs very high output impedance because of the negative feedback from T3 base to T1, far superior to the simple two-transistor current mirrors.
» High Current operation: The four-transistor Wilson current mirror version helps reliably operate at high currents with better thermal stability.
» Low Input Impedance: Provides low input impedance at the input without the need for more bias voltage and even minimal external devices.
Limitations of Wilson Current Mirror:
» Frequency Response Problems: High-frequency operation creates instability in the negative feedback loop.
» Higher Compliance Voltage: Minimum allowable operating voltage is higher than the simplest 2-transistor current mirror circuits.
» Output Noise: Wilson current mirror circuit creates a high output impedance induced by feedback, caused by the collector current fluctuating during feedback contributes to output noise.
Practical Wilson Current Mirror Implementation
Here, the Wilson current mirror is simulated using Proteus software to demonstrate real-world performance characteristics.

The three active components (BJT) are used to make the circuitry. The BJTs are all 2N2222, with the same specifications. The pot is selected to change the current across Q2 collector, which will further reflect on the Q3 collector. For the output load, a 10-ohm resistor is being selected.
Here is the simulation video for Wilson Current Mirror Technique-
Widlar Current Mirror Technique
Another excellent current mirror circuit is the Widlar Current Source Circuit, invented by Bob Widlar. It's an implementation of his Widlar current mirror technique of adding an emitter resistor to achieve precise low currents.
The circuit is exactly the same as the basic current mirror circuit using two BJT transistors. But there is a modification in the output transistor. The output transistor uses an emitter degeneration resistor to provide low currents across the output using only moderate resistor values.
One of the popular application examples of the Widlar current source is in the uA741 operational amplifier circuit.
In the image below, a Widlar current source circuit is shown.

Simple Current Mirror vs Widlar Current Mirror Comparison
The Widlar current mirror circuit consists of only two transistors, T1 & T2 and two resistors, R1 & R2. The circuit is the same as the two-transistor current mirror circuit without R2. The R2 is connected in series with the T2 emitter and ground. This emitter resistor effectively reduces the current across the T2 compared with the T1. This is done by the voltage drop across this resistor; this voltage drop reduces the base-emitter voltage of the output transistor, which further results in reduced collector current across T2.
Analysing Widlar Current Mirror Output Impedance
As previously mentioned that the current across T2 is reduced in comparison with the T1 current, which can be further tested and analysed using Cadence Pspice simulations. Let’s see the Widlar circuit construction and simulations in the image below,

The circuit is constructed in Cadence Pspice. Two transistors with the same specification are used in the circuitry, which is 2N2222. The current probes are showing the current plot across the Q2 and Q1 collectors.
Simulation Results Demonstrate the Current Reduction:
The simulation can be seen in the image below.

In the above figure, the red plot, which is the collector current of Q1, is reducing compared with Q2.
Widlar Current Mirror Mathematical Analysis
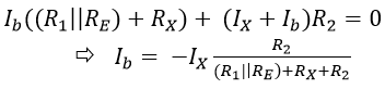
Applying KVL (Kirchhoff’s Voltage Law) across the base-emitter junction of the circuit,
VBE1 = VBE2 + IE2R2 VBE1 = VBE2 + (β+1)IB2R2
The β2 is for the output transistor. It is completely different from the Input transistor, as the current plot on the simulation graph clearly shows that the current in the two transistors is different.
The final formula can be drawn from the above formula if the finite β is overruled and if we change the IC1 to IIN and IC2 to IOUT. Therefore,
Small Signal Analysis for Output Resistance
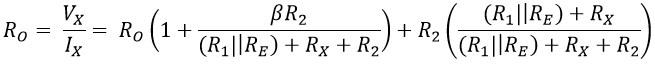
To measure the output resistance of the Widlar current source, the small-signal circuit is a useful option. The image below is an equivalent small signal circuit for the Widlar current source.

The current Ix is applied across the circuit to measure the output resistance of the circuit. So, as per Ohm's law, the output resistance is
Vx / Ix
The output resistance can be determined by applying Kirchhoff's law across the left ground to the R2, which is-

Again, applying Kirchhoff’s voltage law across the R2 ground to the ground of the Input current,
VX = IX (R0 + R2) + Ib (R2 – βR0)
The final output resistance formula for the Widlar current mirror circuit. Now, changing the value, the final equation to derive the output resistance of the Widlar Current Mirror circuit is

Frequently Asked Questions on the Simple Current Mirror
⇥ Why do you employ emitter degeneration in the Widlar current source?
The emitter resistor drops a voltage to reduce, by that drop, the base-emitter voltage of the output transistor, thereby reducing its ability to scale down the collector current in the same way as that of the input current, greatly allowing regulation accuracy.
⇥ What are the formulas for a current mirror circuit?
Wilson mirror: IC = ((1+β)/(β+2))IC3. The Widlar mirror: VBEQ1 = VBEQ2 + IE2×R2. These equations describe output current relationships and operating characteristics of the circuit.
⇥ How do you determine Wilson current mirror output impedance?
The Wilson current mirror's output impedance is very high as compared to basic mirrors due to feedback from T3 base to T1 base. Wilson mirrors can have output impedance several times greater than that of the individual transistor ro.
⇥ What are the drawbacks to WIlson current mirror?
Wilson mirrors suffer from frequency instability due to the negative feedback of the circuit. They require higher compliance voltages and produce higher levels of output noise due to the feedback connections between collector current and the impedance (the ro from T3 and T1), providing the collector current into some circuit load.
⇥ Where does the Widlar current source find common usage?
Widlar current source is widely used in integrated circuits, particularly in operational amplifiers such as μA741, for biasing stages that require very precise generation of low current values with very small-sized resistors.
⇥ How to improve the accuracy of the basic current mirror?
The accuracy of the basic current mirror is improved by the use of the Wilson technique (adding 3rd transistor), Widlar technique (emitter degeneration), or the cascode, each addressing certain accuracy problems such as base current mismatch.
So this is how the Wilson and Widlar current Mirror Techniques can be used to improve the designs of the Basic Current Mirror Circuit.
Explore More Current Control & Amplification Circuits
Master the art of precise current and voltage management with these complementary projects. Dive into advanced techniques like bootstrap amplification, constant current sinks, and voltage-controlled current sources to expand your understanding of current mirroring and transistor-based designs. Perfect for enthusiasts looking to deepen their analog circuit skills.
Op-Amp Voltage controlled Current Source Circuit
In this project we will explain how a voltage-controlled current source using op-amp can be designed and also build it to demonstrate its working.
Constant Current Sink Circuit using Op-Amp
In this tutorial we will learn how to build a voltage-controlled constant current sink circuit. A Voltage-controlled constant current sink circuit, as the name suggests controls the amount of current sunk through it based on the voltage applied.
Bootstrap Amplifier Circuit using Transistors
Typically Bootstrapping is technique where some part of output is used at the startup. In Bootstrap amplifier, bootstrapping is used to increase the input impedance. Due to which the loading effect on the input source also decreases.


